Лого сайта gdz- reshebnik .org

ГДЗ решебники Самостоятельные и контрольные работы по Математике 6 класс Ершова, Голобородько - КР-6 Б-1

ГДЗ решебники Самостоятельные и контрольные работы по Математике 6 класс Ершова, Голобородько    - КР-6 Б-1
6 Математика Самостоятельные и контрольные работы

Решебник

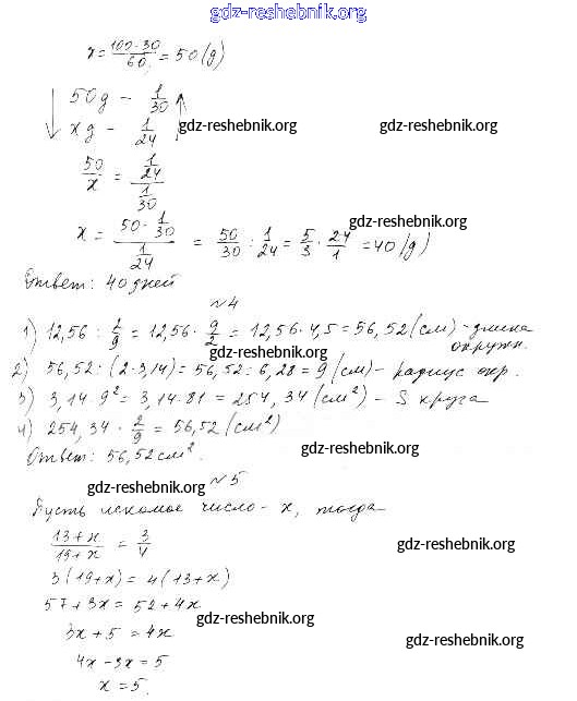
контрольные работы / кр-6 / Б-1

gdz-reshebnik.org - сайт готовых домашних заданий и решебников для школьников по Математике для шестого класса. Предоставляем готовые ответы на задания, авторские материалы к Самостоятельным и контрольным работам Ершова, Голобородько - КР-6 Б-1 . Основная часть контента представлена в бесплатном онлайн-формате с удобным и простым интерфейсом.