Лого сайта gdz- reshebnik .org

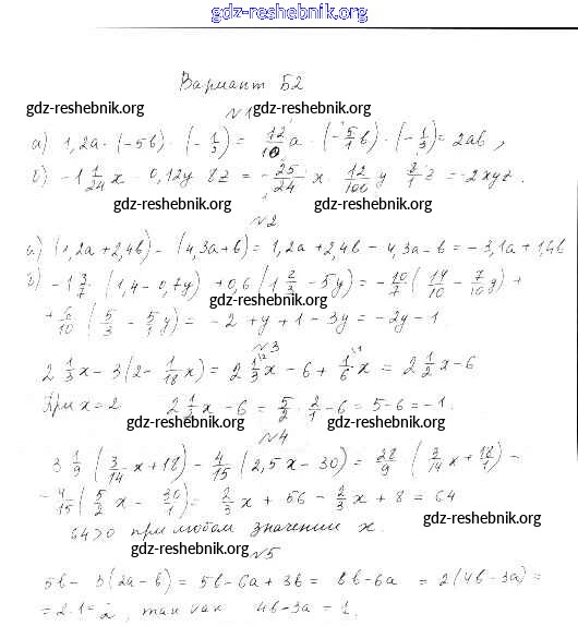
ГДЗ решебники Самостоятельные и контрольные работы по Математике 6 класс Ершова, Голобородько - СР-30 4

ГДЗ решебники Самостоятельные и контрольные работы по Математике 6 класс Ершова, Голобородько    - СР-30 4
6 Математика Самостоятельные и контрольные работы

Решебник

самостоятельные работы / ср-30 / 4

gdz-reshebnik.org - сайт готовых домашних заданий и решебников для школьников по Математике для шестого класса. Предоставляем готовые ответы на задания, авторские материалы к Самостоятельным и контрольным работам Ершова, Голобородько - СР-30 4 . Основная часть контента представлена в бесплатном онлайн-формате с удобным и простым интерфейсом.