Лого сайта gdz- reshebnik .org

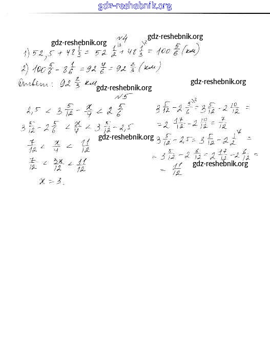
ГДЗ решебники Самостоятельные и контрольные работы по Математике 6 класс Ершова, Голобородько - КР-3 В-2

ГДЗ решебники Самостоятельные и контрольные работы по Математике 6 класс Ершова, Голобородько    - КР-3 В-2
6 Математика Самостоятельные и контрольные работы

Решебник

контрольные работы / кр-3 / В-2

gdz-reshebnik.org - сайт готовых домашних заданий и решебников для школьников по Математике для шестого класса. Предоставляем готовые ответы на задания, авторские материалы к Самостоятельным и контрольным работам Ершова, Голобородько - КР-3 В-2 . Основная часть контента представлена в бесплатном онлайн-формате с удобным и простым интерфейсом.