Лого сайта gdz- reshebnik .org

ГДЗ решебники Учебник по Химии 9 класс Кузнецова, Титова Алгоритм успеха - Вопросы 4

ГДЗ решебники Учебник по Химии 9 класс Кузнецова, Титова Алгоритм успеха   - Вопросы 4
9 Химия Учебник

Решебник

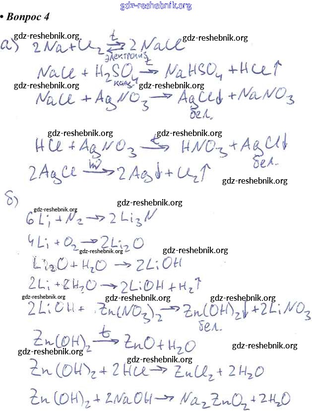
§41 / вопрос / 4

§1. Энергетика химических реакций

Вопросы

Лабораторные опыты

Задания

§2. Скорость химической реакции. Химическое равновесие

Вопросы

Лабораторные опыты

§3. Немного о растворителях

Вопросы

Лабораторные опыты

§4. Ионы — переносчики электрических зарядов

Вопросы

Задания

§5. Механизм электролитической диссоциации веществ с ковалентной полярной связью

Вопросы

§6. Свойства ионов

Лабораторные опыты

§7. Сильные и слабые электролиты

Вопросы

Лабораторные опыты

§8. Реакции электролитов в водных растворах и их уравнения

Вопросы

Лабораторные опыты

§9. Кислоты как электролиты

Вопросы

§10. Основания как электролиты

Вопросы

Лабораторные опыты

Задания

§11. Соли как электролиты

Задания

§12. Элементы-неметаллы в Периодической системе Д.И. Менделеева и в природе

§13. Простые вещества-неметаллы, их состав, строение, общие свойства и способы получения

Лабораторные опыты

Задания

§14. Водородные и кислородные соединения неметаллов

Задания

§15. Водород — химический элемент и простое вещество

Задания

§16. Вода — оксид водорода

Вопросы

§17. Строение атомов галогенов

Лабораторные опыты

Задания

§18. Хлороводород, соляная кислота и их свойства

Лабораторные опыты

§19. Общая характеристика элементов подгруппы кислорода и их простых веществ

§20. Кислород. Озон

Задания

§21. Сера как простое вещество

Лабораторные опыты

§22. Сероводород. Сульфиды

Лабораторные опыты

Задания

§23. Кислородсодержащие соединения серы(IV)

Задания

§24. Кислородсодержащие соединения серы (VI)

Лабораторные опыты

Задания

Творческое задание

§25. Общая характеристика элементов подгруппы азота

Задания

§26. Азот как элемент и как простое вещество

§27. Аммиак

Лабораторные опыты

Задания

§28. Оксиды азота

Лабораторные опыты

§29. Азотная кислота и её соли

Лабораторные опыты

Задания

Творческое задание

§30. Фосфор как элемент и простое вещество

Лабораторные опыты

§31. Соединения фосфора

Задания

Творческое задание

§32. Положение элементов подгруппы углерода в Периодической системе, строение их атомов

Вопросы

§33. Аллотропные модификации углерода

Вопросы

§34. Адсорбция. Химические свойства углерода

Задания

§35. Оксиды углерода

Задания

§36. Угольная кислота и её соли

Задания

Творческое задание

§37. Кремний и его свойства. Соединения кремния

Задания

Творческое задание

§38. Элементы-металлы. Особенности строения их атомов. Положение металлов в Периодической системе Д.И. Менделеева

Задание

§39. Химические свойства металлов

§40. Сплавы

Вопросы

§41. Характеристика элементов IA-групиы Периодической системы и образуемых ими простых веществ

§42. Металлы IIА-группы Периодической системы Д.И. Менделеева и их важнейшие соединения

Задания

§43. Распространение и роль металлов IIA-группы в природе

Вопросы

§44. Алюминий

Вопросы

Лабораторные опыты

§45. Железо и его важнейшие соединения

Лабораторные опыты

§46. Возникновение и развитие органической химии — химии соединений углерода

§47. Классификация углеводородов

Вопросы

Лабораторные опыты

§48. Физические и химические свойства предельных углеводородов (алканов)

§49. Непредельные углеводороды этиленового ряда (алкены)

§50. Спирты

Лабораторные опыты

§51. Предельные одноосновные карбоновые кислоты

Вопросы

§52. Жиры

Вопросы

§53. Углеводы

Вопросы

§54. Белки

Лабораторные опыты

Задания

§55. Вещества, вредные для здоровья человека и окружающей среды

Вопросы

§56. Полимеры и жизнь

Вопросы

Практические работы

gdz-reshebnik.org - сайт готовых домашних заданий и решебников для школьников по Химии для девятого класса. Предоставляем готовые ответы на задания, авторские материалы к Учебнику Кузнецова, Титова Алгоритм успеха - Вопросы 4 . Основная часть контента представлена в бесплатном онлайн-формате с удобным и простым интерфейсом.