Лого сайта gdz- reshebnik .org

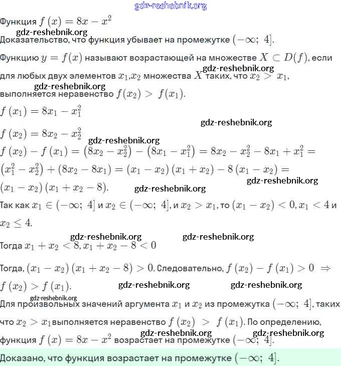
ГДЗ решебники Рабочая тетрадь по Алгебре 9 класс Мерзляк, Полонский Часть 1, 2 - §8. Свойства функции 19

ГДЗ решебники Рабочая тетрадь по Алгебре 9 класс Мерзляк, Полонский  Часть 1, 2  - §8. Свойства функции 19
9 Алгебра Рабочая тетрадь

Решебник

§8 / 19

§1. Числовые неравенства

§2. Основные свойства числовых неравенств

§3. Сложение и умножение числовых неравенств. Оценивание значения выражения

§4. Неравенства с одной переменной

§5. Решение линейных неравенств с одной переменной. Числовые промежутки

§7. Повторение и расширение сведений о функции

§9. Построение графика функции y=kf(x)

§13. Системы уравнений с двумя переменными

§14. Математическое моделирование

§16. Абсолютная и относительная погрешности

§17. Основные правила комбинаторики

§18. Частота и вероятность случайного события

§19. Классическое определение вероятности

§20. Начальные сведения о статистике

§21. Числовые последовательности

§22. Арифметическая прогрессия

§23. Сумма n первых членов арифметической прогрессии

§24. Геометрическая прогрессия

§25. Сумма n первых членов геометрической прогрессии

§26. Сумма бесконечной геометрической прогрессии, у которой модуль знаменателя меньше 1

gdz-reshebnik.org - сайт готовых домашних заданий и решебников для школьников по Алгебре для девятого класса. Предоставляем готовые ответы на задания, авторские материалы к Рабочей тетради Мерзляк, Полонский Часть 1, 2 - §8. Свойства функции 19 . Основная часть контента представлена в бесплатном онлайн-формате с удобным и простым интерфейсом.