Лого сайта gdz- reshebnik .org

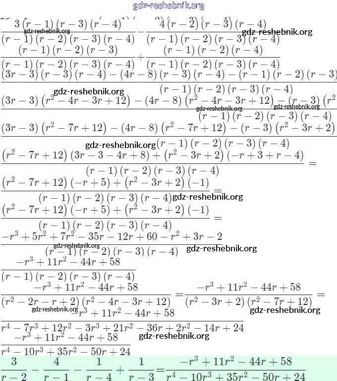
ГДЗ решебники Рабочая тетрадь по Алгебре 8 класс Ключникова, Комиссарова УМК Часть 1 - §4. Сложение и вычитание алгебраических дробей с разными знаменателями 9

ГДЗ решебники Рабочая тетрадь по Алгебре 8 класс Ключникова, Комиссарова УМК Часть 1  - §4. Сложение и вычитание алгебраических дробей с разными знаменателями 9
8 Алгебра Рабочая тетрадь

Решебник

§4 / 9

§1. Основные понятия

§2. Основное свойство алгебраической дроби

§3. Сложение и вычитание алгебраических дробей с одинаковыми знаменателями

§4. Сложение и вычитание алгебраических дробей с разными знаменателями

§5. Умножение и деление алгебраических дробей

§6. Преобразование рациональных выражений

§7. Первые представления о решении рациональных уравнений

§8. Степень с отрицательным целым показателем

§9. Рациональные числа

§10. Понятие квадратного корня из неотрицательного числа

§11. Иррациональные числа

§12. Множество действительных чисел

§13. Функция y = √x, её свойства и график

§14. Свойства квадратных корней

§15. Преобразование выражений, содержащих операцию извлечения квадратного корня

§16. Модуль действительного числа

§17. Функция y = kx², её свойства и график

§18. Функция y = k/x, её свойства и график

§19. Как построить график функции y = f(x+l), если известен график функции y=f(x)

§20. Как построить график функции y=f(x)+m, если известен график функции y = f(x)

§21. Как построить график функции y=f(x+l)+m, если известен график функции y = f(x)

§22. Функция y = ax² + bx + c, её свойства и график

§23. Графическое решение квадратных уравнений

§24. Основные понятия

§25. Формулы корней квадратного уравнения

§26. Рациональные уравнения

§27. Рациональные уравнения как математические модели реальных ситуаций

§28. Ещё одна формула корней квадратного уравнения

§29. Теорема Виета

§30. Иррациональные уравнения

§31. Свойства числовых неравенств

§32. Исследование функции на монотонность

§33. Решение линейных неравенств

§34. Решение квадратных неравенств

§35. Приближённые значения действительных чисел

§36. Стандартный вид положительного числа

gdz-reshebnik.org - сайт готовых домашних заданий и решебников для школьников по Алгебре для восьмого класса. Предоставляем готовые ответы на задания, авторские материалы к Рабочей тетради Ключникова, Комиссарова УМК Часть 1 - §4. Сложение и вычитание алгебраических дробей с разными знаменателями 9 . Основная часть контента представлена в бесплатном онлайн-формате с удобным и простым интерфейсом.