Лого сайта gdz- reshebnik .org

ГДЗ решебники Рабочая тетрадь по Алгебре 7 класс Мерзляк, Полонский Алгоритм успеха Часть 1, 2 - § 11. Умножение многочлена на многочлен. Страница 56-63 10

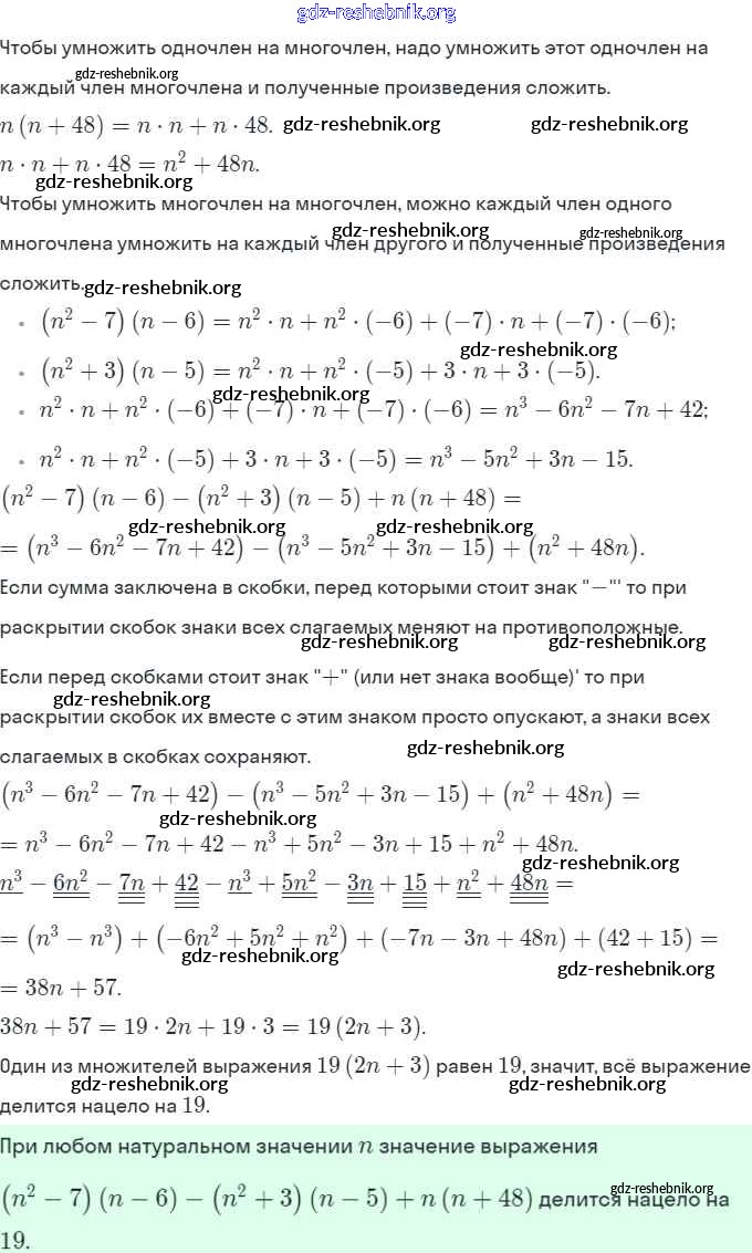
ГДЗ решебники Рабочая тетрадь по Алгебре 7 класс Мерзляк, Полонский Алгоритм успеха Часть 1, 2  - § 11. Умножение многочлена на многочлен. Страница 56-63 10
7 Алгебра Рабочая тетрадь

Решебник

часть 1 / §11 / 10

Часть 1. Параграфы

§ 1. Введение в алгебру. Страница 3-7

§ 2. Линейное уравнение с одной переменной. Страница 8-15

§ 3. Решение задач с помощью уравнений. Страница 15-27

§ 4. Тождественно равные выражения. Тождества. Страница 28-30

§ 5. Степень с натуральным показателем. Страница 30-33

§ 6. Свойства степени с натуральным показателем. Страница 34-37

§ 7. Одночлены. Страница 37-40

§ 8. Многочлены. Страница 40-42

§ 9. Сложение и вычитание многочленов. Страница 43-48

§ 10. Умножение одночлена на многочлен. Страница 48-55

§ 11. Умножение многочлена на многочлен. Страница 56-63

§ 12. Разложение многочлена на множители. Вынесение общего множителя за скобки. Страница 63-69

§ 13. Разложение многочленов на множители. Метод группировки. Страница 69-71

§ 14. Произведение разности и суммы двух выражений. Страница 71-74

§ 15. Разность квадратов двух выражений. Страница 74-82

§ 16. Квадрат суммы и квадрат разности двух выражений. Страница 82-91

§ 17. Преобразование многочлена в квадрат суммы или разности двух выражений. Страница 91-100

§ 18. Сумма и разность кубов двух выражений. Страница 100-103

§ 19. Применение различных способов разложения многочлена на множители. Страница 104-110

Часть 2 Параграфы

§ 20. Связи между величинами. Функции. Страница 3-8

§ 21. Способы задания функции. Страница 8-12

§ 22. График функции. Страница 12-20

§ 23. Линейная функция, ее график и свойства. Страница 20-27

§ 24. Уравнения с двумя переменными. Страница 28-35

§ 25. Линейное уравнение с двумя переменными и его график. Страница 35-44

§ 26. Системы уравнений с двумя переменными. Графический метод решения систему двух линейных уравнений методом подстановки. Страница 44-51

§ 27. Решение систем линейных уравнений методом подстановки. Страница 52-57

§ 28. Решение систем линейных уравнений методом сложения. Страница 58-67

§ 29. Решение задач с помощью систем линейных уравнений. Страница 67-78

gdz-reshebnik.org - сайт готовых домашних заданий и решебников для школьников по Алгебре для седьмого класса. Предоставляем готовые ответы на задания, авторские материалы к Рабочей тетради Мерзляк, Полонский Алгоритм успеха Часть 1, 2 - § 11. Умножение многочлена на многочлен. Страница 56-63 10 . Основная часть контента представлена в бесплатном онлайн-формате с удобным и простым интерфейсом.