ГДЗ решебники Задачник по Алгебре 10 класс Мордкович, Семёнов Базовый и углубленный уровень - §23. Методы решения тригонометрических уравнений 23.17
10
Алгебра
Задачник
Решебник
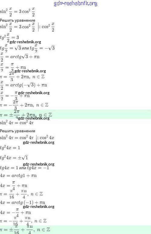
§23 / 23.17
Повторение курса алгебры основной школы
1
2
3
4
5
6
7
8
9
10
11
12
13
14
15
16
17
18
19
20
21
22
23
24
25
26
27
28
29
30
31
32
33
34
35
36
37
38
39
40
41
42
43
44
45
46
47
48
49
50
51
52
53
54
55
56
57
58
59
60
61
62
63
64
65
66
67
68
69
70
71
72
73
74
75
76
77
78
79
80
81
82
83
84
85
86
87
88
89
90
91
92
93
94
95
96
97
98
99
100
101
102
103
104
105
106
107
108
109
110
111
112
113
114
115
116
117
118
119
120
121
122
123
§1. Натуральные и целые числа
§2. Рациональные числа
§3. Иррациональные числа
§4. Множество действительных чисел
§5. Модуль действительного числа
§6. Метод математической индукции
§7. Определение числовой функции и способы её задания
7.1
7.2
7.3
7.4
7.5
7.6
7.7
7.8
7.9
7.10
7.11
7.12
7.13
7.14
7.15
7.16
7.17
7.18
7.19
7.20
7.21
7.22
7.23
7.24
7.25
7.26
7.27
7.28
7.29
7.30
7.31
7.32
7.33
7.34
7.35
7.36
7.37
7.38
7.39
7.40
7.41
7.42
7.43
7.44
7.45
7.46
7.47
7.48
7.49
7.50
7.51
7.52
7.53
7.54
7.55
7.56
7.57
7.58
7.59
7.60
7.61
7.62
7.63
7.64
7.65
7.66
7.67
7.68
7.69
7.70
7.71
7.72
7.73
7.74
§8. Свойства функций
§9. Периодические функции
§10. Обратная функция
§11. Числовая окружность
§12. Числовая окружность на координатной плоскости
§13. Синус и косинус. Тангенс и котангенс
§14. Тригонометрические функции числового аргумента
§15. Тригонометрические функции углового аргумента
§16. Функции y=sinx, y=cosx, их свойства и графики
16.1
16.2
16.3
16.4
16.5
16.6
16.8
16.9
16.10
16.11
16.12
16.13
16.14
16.15
16.16
16.17
16.18
16.19
16.20
16.21
16.22
16.23
16.24
16.25
16.26
16.27
16.28
16.29
16.30
16.31
16.32
16.33
16.34
16.35
16.36
16.37
16.38
16.39
16.40
16.41
16.42
16.43
16.44
16.45
16.46
16.47
16.48
16.49
16.50
16.51
16.52
16.53
16.54
16.55
16.56
16.57
16.58
16.59
16.60
16.61
16.62
16.63
16.64
16.65
16.66
16.67
16.68
§17. Построение графика функции y=mf(x)
§18. Построение графика функции y=f(kx)
§19. График гармонического колебания
§20. Функции y=tgx, y=ctgx, их свойства и графики
§21. Обратные тригонометрические функции
21.1
21.2
21.3
21.4
21.5
21.6
21.7
21.8
21.9
21.10
21.11
21.12
21.13
21.14
21.15
21.16
21.17
21.18
21.19
21.20
21.21
21.22
21.23
21.24
21.25
21.26
21.27
21.28
21.29
21.30
21.31
21.32
21.33
21.34
21.35
21.36
21.37
21.38
21.39
21.40
21.41
21.42
21.43
21.44
21.45
21.46
21.47
21.48
21.49
21.50
21.51
21.52
21.53
21.54
21.55
21.56
21.57
21.58
21.59
21.60
21.61
21.62
21.63
21.64
21.65
§22. Простейшие тригонометрические уравнения и неравенства
22.1
22.2
22.3
22.4
22.5
22.6
22.7
22.8
22.9
22.10
22.11
22.12
22.13
22.14
22.15
22.16
22.17
22.18
22.19
22.20
22.21
22.22
22.23
22.24
22.25
22.26
22.27
22.28
22.29
22.30
22.31
22.32
22.33
22.34
22.35
22.36
22.37
22.38
22.39
22.40
22.41
22.42
22.43
22.44
22.45
22.46
22.47
22.48
22.49
22.50
22.51
22.52
22.53
22.54
22.55
22.56
22.57
22.58
22.59
22.60
22.61
22.62
22.63
22.64
22.65
22.66
22.67
22.68
22.69
§23. Методы решения тригонометрических уравнений
§24. Синус и косинус суммы и разности аргументов
24.1
24.2
24.3
24.4
24.5
24.6
24.7
24.8
24.9
24.10
24.11
24.12
24.13
24.14
24.15
24.16
24.17
24.18
24.19
24.20
24.21
24.22
24.23
24.24
24.25
24.26
24.27
24.28
24.29
24.30
24.31
24.32
24.33
24.34
24.35
24.36
24.37
24.38
24.39
24.40
24.41
24.42
24.43
24.44
24.45
24.46
24.47
24.48
24.49
24.50
24.51
24.52
24.53
§25. Тангенс суммы и разности аргументов
§26. Формулы приведения
§27. Формулы двойного аргумента. Формулы понижения степени
27.1
27.2
27.3
27.4
27.5
27.6
27.7
27.8
27.9
27.10
27.11
27.12
27.13
27.14
27.15
27.16
27.17
27.18
27.19
27.20
27.21
27.22
27.23
27.24
27.25
27.26
27.27
27.28
27.29
27.30
27.31
27.32
27.33
27.34
27.35
27.36
27.37
27.38
27.39
27.40
27.41
27.42
27.43
27.44
27.45
27.46
27.47
27.48
27.49
27.50
27.51
27.52
27.53
27.54
27.55
27.56
27.57
27.58
27.59
27.60
27.61
27.62
27.63
27.64
27.65
27.66
27.67
27.68
27.69
27.70
27.71
27.72
27.73
§28. Преобразование суммы тригонометрических функций в произведение
§29. Преобразование произведения тригонометрических функций в сумму
§30. Преобразование выражения Asinx+Bcosx к виду Csin(x+t)
§31. Методы решения тригонометрических уравнений
§32. Комплексные числа и арифметические операции над ними
§33. Комплексные числа и координатная плоскость
§34. Тригонометрическая формула записи комплексного числа
§35. Комплексные числа и квадратные уравнения
§36. Возведение комплексного числа в степень, извлечение кубического корня из комплексного числа
§37. Числовые последовательности
37.1
37.2
37.3
37.4
37.5
37.6
37.7
37.8
37.9
37.10
37.11
37.12
37.13
37.14
37.15
37.16
37.17
37.18
37.19
37.20
37.21
37.22
37.23
37.24
37.25
37.26
37.27
37.28
37.29
37.30
37.31
37.32
37.33
37.34
37.35
37.36
37.37
37.38
37.39
37.40
37.41
37.42
37.43
37.44
37.45
37.46
37.47
37.48
37.49
37.50
37.51
37.52
37.53
37.54
37.55
37.56
37.57
37.58
37.59
37.60
§38. Предел числовой последовательности
§39. Предел функции
§40. Определение производной
§41. Вычисление производных
41.1
41.2
41.3
41.4
41.5
41.6
41.7
41.8
41.9
41.10
41.11
41.12
41.13
41.14
41.15
41.16
41.17
41.18
41.19
41.20
41.21
41.22
41.23
41.24
41.25
41.26
41.27
41.28
41.29
41.30
41.31
41.32
41.33
41.34
41.35
41.36
41.37
41.38
41.39
41.40
41.41
41.42
41.43
41.44
41.45
41.46
41.47
41.48
41.49
41.50
41.51
41.52
41.53
41.54
41.55
41.56
41.57
41.58
41.59
41.60
41.61
41.62
41.63
41.64
41.65
41.66
41.67
41.68
41.69
41.70
§42. Дифференцирование сложной функции. Дифференцирование обратной функции
§43. Уравнение касательной к графику функции
43.1
43.2
43.3
43.4
43.5
43.6
43.7
43.8
43.9
43.10
43.11
43.12
43.13
43.14
43.15
43.16
43.17
43.18
43.19
43.20
43.21
43.22
43.23
43.24
43.25
43.26
43.27
43.28
43.29
43.30
43.31
43.32
43.33
43.34
43.35
43.36
43.37
43.38
43.39
43.40
43.41
43.42
43.43
43.44
43.45
43.46
43.47
43.48
43.49
43.50
43.51
43.52
43.53
43.54
43.55
43.56
43.57
43.58
43.59
43.60
43.61
43.62
43.63
43.64
43.65
43.66
43.67
43.68
43.69
43.70
§44. Применение производной для исследования функций на монотонность и экстремумы
44.1
44.2
44.3
44.4
44.5
44.6
44.7
44.8
44.9
44.10
44.11
44.12
44.13
44.14
44.15
44.16
44.17
44.18
44.19
44.20
44.21
44.22
44.23
44.24
44.25
44.26
44.27
44.28
44.29
44.30
44.31
44.32
44.33
44.34
44.35
44.36
44.37
44.38
44.39
44.40
44.41
44.42
44.43
44.44
44.45
44.46
44.47
44.48
44.49
44.50
44.51
44.52
44.53
44.54
44.55
44.56
44.57
44.58
44.59
44.60
44.61
44.62
44.63
44.64
44.65
44.66
44.67
44.68
44.69
44.70
44.71
44.72
44.73
44.74
44.75
44.76
§45. Построение графиков функций
§46. Нахождение наибольших и наименьших значений функции
46.1
46.2
46.3
46.4
46.5
46.6
46.7
46.8
46.9
46.10
46.11
46.12
46.13
46.14
46.15
46.16
46.17
46.18
46.19
46.20
46.21
46.22
46.23
46.24
46.25
46.26
46.27
46.28
46.29
46.30
46.31
46.32
46.33
46.34
46.35
46.36
46.37
46.38
46.39
46.40
46.41
46.42
46.43
46.44
46.45
46.46
46.47
46.48
46.49
46.50
46.51
46.52
46.53
46.54
46.55
46.56
46.57
46.58
46.59
46.60
46.61
46.62
46.63
46.64
46.65
46.66
46.67
§47. Правило умножения. Перестановки и факториалы
§48. Выбор нескольких элементов. Биноминальные коэффициенты
gdz-reshebnik.org - сайт готовых домашних заданий и решебников для школьников по Алгебре для десятого класса. Предоставляем готовые ответы на задания, авторские материалы к Задачнику Мордкович, Семёнов Базовый и углубленный уровень - §23. Методы решения тригонометрических уравнений 23.17 . Основная часть контента представлена в бесплатном онлайн-формате с удобным и простым интерфейсом.